Envejecimiento y cuidados: el reto que crece.
España envejece a gran velocidad, y con ello crecen también las necesidades de cuidados de larga duración (CLD) para las personas mayores, como se ha comentado recientemente en Nada es Gratis (aquí). Los CLD comprenden un conjunto de actividades destinadas a ayudar a las personas con limitaciones físicas o mentales de carácter permanente o prolongado en la realización de las actividades de la vida diaria. Tradicionalmente asumidos por las familias, estos cuidados se enfrentan hoy a transformaciones sociales y demográficas que han reducido la capacidad del entorno familiar para proveerlos, impulsando así una mayor demanda de atención formal. Ante este escenario, los gobiernos tratan de adaptar sus políticas para responder de manera sostenible a esta nueva realidad (aquí).
En España, el Sistema para la Autonomía y Atención a la Dependencia (SAAD) es el responsable de prestar apoyo a las personas con necesidades de CLD. Este año cumple la mayoría de edad desde su puesta en marcha en 2007, aunque su trayectoria no ha sido precisamente sencilla, como se ha ido relatando en este blog (véase aquí o aquí). La financiación insuficiente desde el inicio limitó su alcance, y las medidas de austeridad tras la Gran Recesión retrasaron su implementación completa hasta 2015 (Oliva et al., 2023). La pandemia volvió a evidenciar su fragilidad, especialmente en los servicios residenciales (aquí).
Evaluar para mejorar: la importancia de la evidencia y la colaboración institucional.
La evaluación rigurosa de los resultados del SAAD es fundamental para orientar la inversión pública y mejorar el bienestar de las personas mayores. Pero la realidad es que aún contamos con poca información sobre los efectos del SAAD. Las excepciones son pocas y valiosas, como el estudio publicado aquí sobre las políticas de apoyo a cuidadores de personas mayores con necesidades de CLD.
En Cataluña, esta situación ha empezado a cambiar gracias a un esfuerzo sostenido del Departamento de Derechos Sociales e Inclusión por abrir los datos a la investigación. Uno de los primeros resultados, liderado por investigadores del CRES-UPF, permitió estudiar el impacto de las prestaciones de dependencia en el uso de servicios sanitarios, como se explicó previamente en NeG aquí. Actualmente, y a través del programa de doctorado industrial de la AGAUR, coliderado por la UPF y el Tecnocampus-UPF, continúa vigente esta línea de investigación.
El objetivo es analizar de forma sistemática los efectos del SAAD a partir de registros administrativos. Una ventaja de este programa de doctorado es que permite trabajar desde dentro del Departamento, lo que facilita un acceso más ágil a los datos y una comunicación directa con los gestores de la política pública. No obstante, todavía persisten limitaciones relevantes: la infraestructura de intercambio de datos entre administraciones aún no está totalmente operativa y, a día de hoy, no ha sido posible vincular los registros sociales con los sanitarios, lo que impide evaluar resultados clave como el uso de servicios de salud o la evolución clínica.
Mortalidad y supervivencia ¿Qué dicen los datos?
En este artículo presentamos el primer estudio del proyecto de doctorado industrial (publicado recientemente) que se centra en analizar si recibir prestaciones de CLD se asocia con el riesgo de mortalidad entre las personas mayores en Cataluña.
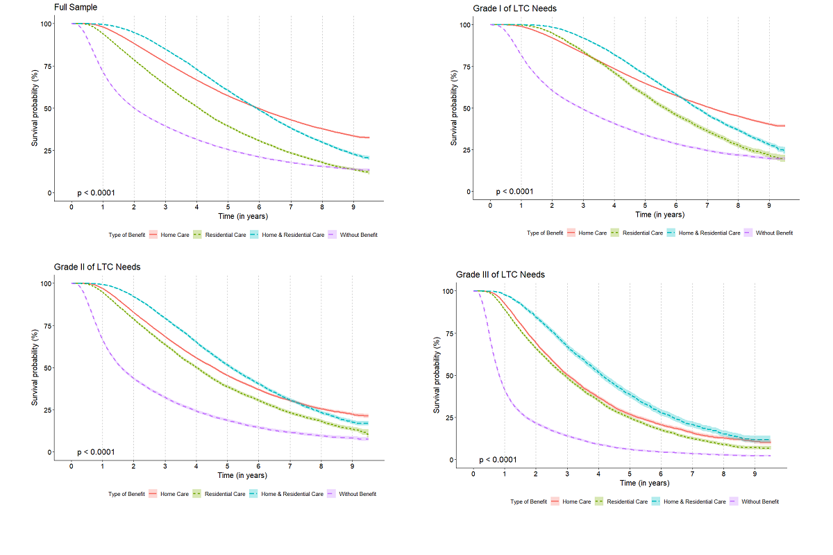
El análisis siguió a más de 320.000 personas solicitantes de prestaciones de dependencia entre julio de 2015 y diciembre de 2024, clasificadas según la severidad reconocida de su pérdida de autonomía (Grados I, II y III de Dependencia) y el apoyo finalmente recibido: atención domiciliaria, atención residencial, trayectorias mixtas (empezar en domicilio y pasar posteriormente a residencia) o ninguna prestación. Para estimar las diferencias de mortalidad entre grupos se emplearon técnicas de análisis de supervivencia, incluyendo curvas de Kaplan-Meier y modelos de riesgos proporcionales de Cox, controlando por un amplio conjunto de características demográficas, clínicas y territoriales, disponibles a partir del registro administrativo.
Como vemos en la Figura 1, que muestra las probabilidades de supervivencia acumuladas para toda la población y segregando por el primer grado de dependencia recibido, los resultados son claros. Las personas que reciben apoyos formales viven más que aquellas que, pese a ser reconocidas como dependientes, permanecen sin prestación. La diferencia aparece en todo el espectro de dependencia y no desaparece al controlar por características clínicas y sociodemográficas mediante modelos de supervivencia de Cox (ver Tabla 1). Esta realidad no es menor: como ya se ha discutido reiteradamente, los tiempos de espera y cuellos de botella administrativos siguen siendo una asignatura pendiente del sistema. En términos de probabilidades de supervivencia, estos retrasos tienen consecuencias visibles.
Figura 1 – Curvas de supervivencia de Kaplan-Meier para toda la población (arriba-izquierda), la población con Grado I de dependencia (arriba-derecha), Grado II (abajo-izquierda) y Grado III (abajo-derecha) en función del tipo de prestación recibida.
Tabla 1 –Modelo de supervivencia de Cox (principales coeficientes) para toda la población y las subpoblaciones en función del primer grado de dependencia recibido. HR=Hazard Ratio (riesgo de mortalidad).
Dentro de quienes sí reciben ayuda, emergen matices reveladores. El patrón que muestra mejores resultados de probabilidad de supervivencia es comenzar con apoyos en el hogar y, más adelante, transitar hacia una residencia. Estas personas pasan la mayor parte del tiempo en su casa, pero con la posibilidad de intensificar el cuidado cuando el estado funcional empeora. Esa capacidad de transitar, y hacerlo a tiempo, parece clave. En cambio, cuando se comparan directamente los casos que solo reciben atención domiciliaria con quienes solo acceden a una plaza residencial, la probabilidad de supervivencia es mayor entre quienes solo reciben atención domiciliaria.
Si separamos la población en función de la severidad inicial de las necesidades de CLD, encontramos lo que cabría esperar: las personas con mayor grado de dependencia tienen una probabilidad superior de fallecer durante el periodo de estudio. Pero el valor informativo no está ahí, sino en que la diferencia asociada a recibir apoyos persiste incluso en estos casos de elevada fragilidad.
Naturalmente, estos hallazgos deben leerse con cautela. El SAAD no asigna prestaciones de forma aleatoria, y la elección de servicio, junto con las trayectorias familiares y personales de cada solicitante, puede estar influida por factores no observados, como la disponibilidad de apoyos informales o las preferencias familiares. Aun así, con un tamaño muestral poblacional, controles demográficos, clínicos y territoriales detallados, los resultados ofrecen una señal clara: el sistema de dependencia no solo acompaña el final de la vida; puede prolongarlo.
La implicación es directa: reducir tiempos de espera y facilitar trayectorias flexibles no es únicamente una mejora administrativa ni una cuestión de derechos. Es, también, una política de salud pública. La lógica del “en casa mientras se pueda” parece válida, siempre que vaya acompañada del condicional implícito: y cuando no se pueda, transitar sin fricciones a un recurso residencial adecuado. Envejecer en casa no debe significar envejecer solo, ni hay que evitar institucionalización al precio de desatender la necesidad.
En definitiva, el estudio muestra que el cuidado importa, y su organización también. Un sistema que llega tarde o que obliga a permanecer en un recurso inadecuado puede estar costando vidas. Uno que acompaña, que reevalúa, y que permite adaptarse al deterioro, contribuye no solo a la autonomía y al bienestar, sino también a la supervivencia. Si aceptamos que la dependencia es parte de la biografía de nuestras sociedades envejecidas, entonces entender el cuidado como un determinante de salud es un paso necesario. Y, quizá, inaplazable.



Hay 1 comentarios
Revelador estudio. Un tópico es que los niños y los viejos estorban, por eso estas generaciones en las antípodas establecen relaciones simbióticas mientras los adultos responsables atienden la demanda de sus empleos la mayor parte del tiempo.
La pérdida de autonomía implica aparte del evidente deterioro físico una carga psicológica que requiere no solo de una asistencia presencial sino de una atención personal cercana y afectiva. Yo, como cuidador principal de un familiar en tales circunstancias abogaría por una ley de reciprocidad en la atención de la dependencia. Es decir, si esa persona que ahora es dependiente cuidó y nos dio tanto, es de justicia acompañarla y atenderla por la familia. Lógicamente con el apoyo de CLD mediante recursos asistenciales, para garantizar una calidad de vida suficiente en los últimos años de vida.
Por desgracia, muchas de estas personas malviven, o se encuentran solas en lo peor de su carencia de autonomía, precisamente cuando son más vulnerables. Solo hay que ver la pirámide poblacional y tener un poco de empatía para aproximarnos al abismo, tomar conciencia, y actuar en consecuencia.
Saludos.
Los comentarios están cerrados.